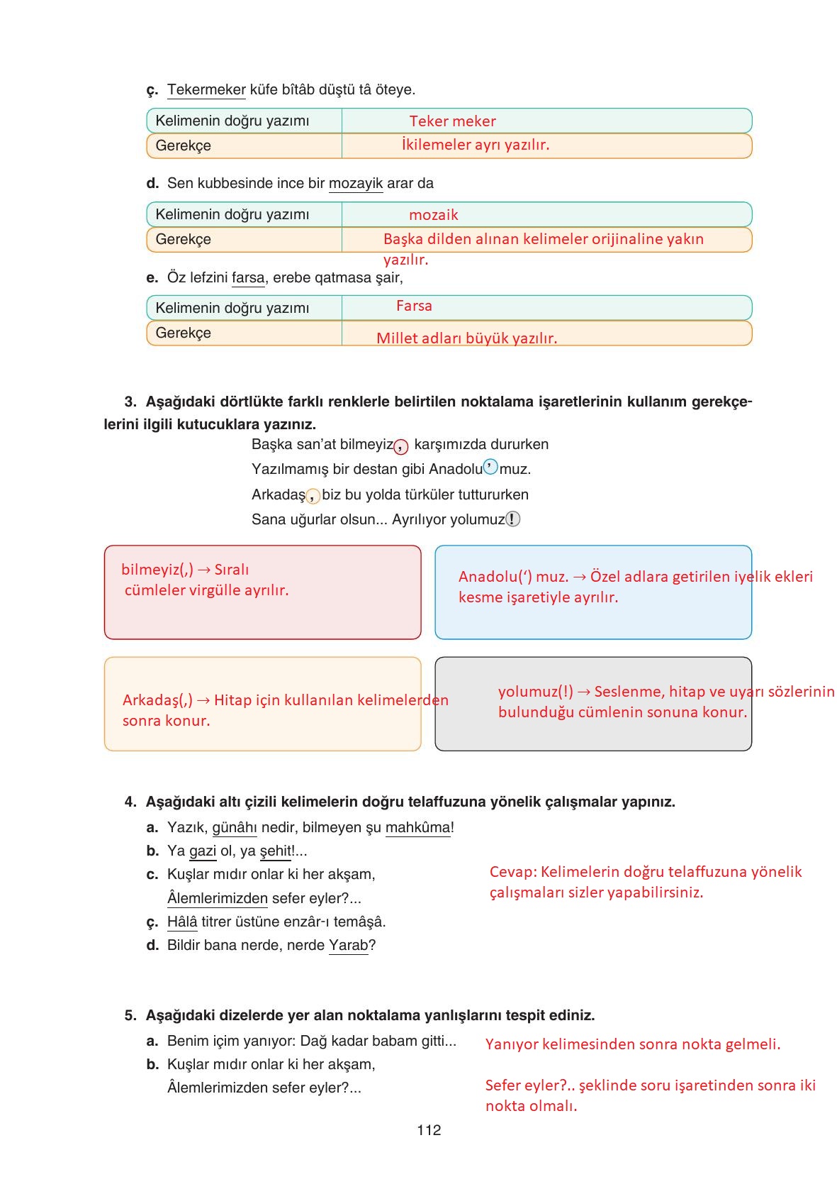
11. Sınıf Gizem Yayıncılık Edebiyat Ders Kitabı Sayfa 112 Cevapları sitemizde.
Sitemizde sunduğumuz detaylı bilgiler, öğrenme deneyiminizi zenginleştirerek, akademik başarıya ulaşmanızda önemli bir rol oynamaktadır. Bilgileri düzenli olarak gözden geçirerek, öğrenme sürecinizi pekiştirebilirsiniz.
11. Sınıf Gizem Yayıncılık Edebiyat Ders Kitabı Sayfa 112 cevapları, ödevlerinize yardımcı olmak için aşağıda verilmiştir. 11. sınıf Edebiyat Ders Kitabı sayfa 112 cevapları Gizem Yayıncılık hemen görün.
11. Sınıf Gizem Yayıncılık Edebiyat Ders Kitabı Sayfa 112 Cevapları
